Localización
- Edificio de apoio á investigación (CACTUS)
- Rúa de Constantino Candeira, 1. Campus Vida , 15782Santiago de Compostela
- Teléfonos
- 881 816 242


Esta nova técnica consiste na separación de ións en función da súa mobilidade nun gas inerte en presenza dun campo eléctrico. Desta maneira, proporciona información sobre o tamaño, forma e carga dos ións. Dito tubo de deriva consiste nunha serie de electrodos amontoados que teñen un campo eléctrico de corrente continua estática aplicado a través deles. Os ións adquiren unha velocidade ó longo do tubo gobernado polo campo eléctrico e a mobilidade do ión no gas.
No caso do TIMS (Trapped Ion Mobility Spectrometry), os ións son impulsados a través do tubo cun fluxo de gas, e está colocado de maneira ortogonal con respecto ó capilar. O campo eléctrico controla que cada ión se mova máis alá dunha posición definida pola mobilidade do ión; onde o empuxe que experimenta do fluxo de gas coincide coa forza do campo eléctrico. Unha rampla descendente do campo eléctrico permite a liberación selectiva de ións do tubo segundo a súa mobilidade.
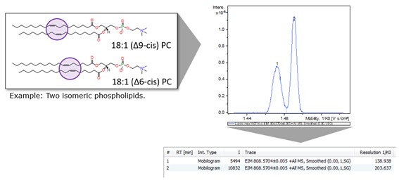
Combinada cun analizador TOF (Time of Flight) esta técnica é útil para separar isómeros que non se distinguen por cromatografía con espectrometría de masas, xa que teñen a mesma relación m/z. Pero coa mobilidade iónica, pódense distinguir polo seu valor de mobilidade 1/K0 [V·s/cm2] ou de sección transversal de colisión (CCS), que son propios de cada estrutura molecular. Ademais, permite obter espectros máis limpos de cada composto en particular, co seu pico molecular e fragmentos si se combina con MS/MS, a partir do seu mobilograma.
Cando se combina coa Fragmentación MS/MS (tecnoloxía PASEF “Parallel Accumulation-Serial Fragmentation”). O equipo primeiro aplica a mobilidade iónica, e a medida que as moléculas van saíndo de maneira illada para entrar no analizador de masas quadrupolar, estas son fragmentadas na cela de colisión, dando lugar ós espectros MS/MS.
Instrumentación: timsTOF (Bruker).
Unidade de Espectrometría de Masas e Proteómica
- Edificio de Apoio á Investigación (CACTUS)
- Rúa de Constantino Candeira, 1. Campus Vida , 15782Santiago de Compostela
- 881 816 242